Синтез системы стабилизации космического телескопа
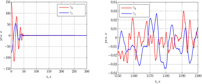
Получены основанные на использовании вектор-функций Ляпунова (ВФЛ) условия асимптотической устойчивости и диссипативности нелинейных систем цифрового управления непрерывными объектами, в которых управление содержит как непрерывные, так и дискретные во времени компоненты. Для основных классов названных систем разработаны и программно реализованы алгоритмы динамического анализа и параметрического синтеза с помощью сублинейных ВФЛ. Проведен синтез системы прецизионной угловой стабилизации нежесткой конструкции большого космического телескопа "Спектр-УФ", обеспечивающей точность до 0,03 угл. сек.

| Рис. 1. Переходный процесс при переключении с программного режима на стабилизацию | Рис. 2. Установившийся процесс в режиме точной стабилизации |
Авторы результата: к.ф.-м.н. Р.И. Козлов, к.т.н. С.А. Ульянов.











